Random erasing data augmentation
论文名称:Random erasing data augmentation
论文地址:https://arxiv.org/pdf/1708.04896v2.pdf
随机擦除增强,非常容易理解。作者提出的目的主要是模拟遮挡,从而提高模型泛化能力,这种操作其实非常make sense,因为我把物体遮挡一部分后依然能够分类正确,那么肯定会迫使网络利用局部未遮挡的数据进行识别,加大了训练难度,一定程度会提高泛化能力。其也可以被视为add noise的一种,并且与随机裁剪、随机水平翻转具有一定的互补性,综合应用他们,可以取得更好的模型表现,尤其是对噪声和遮挡具有更好的鲁棒性。具体操作就是:随机选择一个区域,然后采用随机值进行覆盖,模拟遮挡场景。

在细节上,可以通过参数控制擦除的面积比例和宽高比,如果随机到指定数目还无法满足设置条件,则强制返回。 一些可视化效果如下:

Cutout
论文名称:Improved Regularization of Convolutional Neural Networks with Cutout
论文地址:https://arxiv.org/abs/1708.04552v2
出发点和随机擦除一样,也是模拟遮挡,目的是提高泛化能力,实现上比random erasing简单,随机选择一个固定大小的正方形区域,然后采用全0填充就OK了,当然为了避免填充0值对训练的影响,应该要对数据进行中心归一化操作,norm到0。
本文和随机擦除几乎同时发表,难分高下(不同场景下谁好难说),区别在于在cutout中,擦除矩形区域存在一定概率不完全在原图像中的。而在Random Erasing中,擦除矩形区域一定在原图像内。Cutout变相的实现了任意大小的擦除,以及保留更多重要区域。
需要注意的是作者发现cutout区域的大小比形状重要,所以cutout只要是正方形就行,非常简单。具体操作是利用固定大小的矩形对图像进行遮挡,在矩形范围内,所有的值都被设置为0,或者其他纯色值。而且擦除矩形区域存在一定概率不完全在原图像中的(文中设置为50%)
论文中有一个细节可以看看:作者其实开发了一个早期做法,具体是:在训练的每个epoch过程中,保存每张图片对应的最大激活特征图(以resnet为例,可以是layer4层特征图),在下一个训练回合,对每张图片的最大激活图进行上采样到和原图一样大,然后使用阈值切分为二值图,盖在原图上再输入到cnn中进行训练,有点自适应的意味。但是有个小疑问:训练的时候不是有数据增强吗?下一个回合再用前一次增强后的数据有啥用?我不太清楚作者的实现细节。如果是验证模式下进行到是可以。 这种做法效果蛮好的,但是最后发现这种方法和随机选一个区域遮挡效果差别不大,而且带来了额外的计算量,得不偿失,便舍去。就变成了现在的cutout了。
可能和任务有关吧,按照我的理解,早期做法非常make sense,效果居然和cutout一样,比较奇怪。并且实际上考虑目标检测和语义分割,应该还需要具体考虑,不能照搬实现。
学习这类论文我觉得最重要的是思想,能不能推广到不同领域上面?是否可以在训练中自适应改变?是否可以结合特征图联合操作?

Hide-and-Seek
论文名称:Hide-and-Seek: A Data Augmentation Technique for Weakly-Supervised Localization and Beyond
论文地址:https://arxiv.org/abs/1811.02545
可以认为是random earsing的推广。核心思想就是去掉一些区域,使得其他区域也可以识别出物体,增加特征可判别能力。和大部分细粒度论文思想类型,如下所示:

数据增强仅仅用于训练阶段,测试还是整图,不遮挡,如下所示。

做法是将图片切分为\(s\times s\)个网格,每个网格采用一定概率进行遮挡,可以模拟出随机擦除和cutout效果。
至于隐藏值设置为何值,作者认为比较关键,因为可能会改变训练数据的分布。如果暴力填黑,认为会出现训练和测试数据分布不一致问题,可能不好,特别是对于第一层卷积而言。作者采用了一些理论计算,最后得到采用整个数据集的均值来填充造成的影响最小(如果采用均值,那么输入网络前,数据预处理减掉均值,那其实还是接近0)。
GridMask Data Augmentation
论文名称:GridMask Data Augmentation
论文地址:https://arxiv.org/abs/2001.04086v2
本文可以认为是前面3篇文章的改进版本。本文的出发点是:删除信息和保留信息之间要做一个平衡,而随机擦除、cutout和hide-seek方法都可能会出现可判别区域全部删除或者全部保留,引入噪声,可能不好。如下所示:

要实现上述平衡,作者发现非常简单,只需要结构化drop操作,例如均匀分布似的删除正方形区域即可。并且可以通过密度和size参数控制,达到平衡。如下所示:

其包括4个超参,如下所示:

r is the ratio of the shorter gray edge in a unit. d is the length of one unit. \(δ_x\) and \(δ_y\) are the distances between the first intact unit and boundary of the image.
首先定义\(k\),即图像信息的保留比例,其中\(H\)和\(W\)分别是原图的高和宽,\(M\)是保留下来的像素数,保留比例k如下,该参数k和上述的4个参数无直接关系,但是该参数间接定义了\(r\):
d决定了一个dropped square的大小, 参数 x和 y的取值有一定随机性.
其实看起来,就是两个参数: r和d,r通过k计算而来,用于计算保留比例(核心参数),d用了控制每个块的大小。d越大,每个黑色块面积就越大,黑色块的个数就越少,d越小,黑色块越小,个数就越多。xy仅仅用于控制第一个黑色块的偏移而已。
对于应用概率的选择,可以采用固定值或者线性增加操作,作者表示线性增加会更好,例如首先选择r = 0.6,然后随着训练epoch的增加,概率从0增加到0.8,达到240th epoch后固定,这种操作也是非常make sense,为了模拟更多场景,在应用于图片前,还可以对mask进行旋转。这种策略当然也可以应用于前3种数据增强策略上。
object Region Mining with Adversarial Erasing
论文地址:https://arxiv.org/pdf/1703.08448.pdf
本文在yolov4中仅仅是提了一下,不是重点,但是我觉得思想不错,所以还是写一下。
本文要解决的问题是使用分类做法来做分割任务(弱监督分割),思想比较有趣。如下所示:

通过迭代训练的方式不断挖掘不同的可判别区域,最终组合得到完整的分割结果。第t次训练迭代(一次迭代就是指的一次完整的训练过程),对于每张图片都可以得到cam图(类别激活图),将cam图二值化然后盖在原图上,进行下一次迭代训练,每次迭代都是学习一个不同的可判别区域,迭代结束条件就是分类性能不行了,因为可判别区域全部被盖住了(由于该参数其实很难设置,故实验直接取3)。最后的分割结果就是多次迭代的cam图叠加起来即可。
本文是cvpr2017的论文,放在现在来看,做法其实超级麻烦,现在而言我肯定直接采用细粒度方法,采用特征擦除技术,端到端训练,学习出所有可判别区域。应该不会比这种做法效果差,但是在当时还是不错的思想。
但是其也提供了一种思路:是否可以采用分类预测出来的cam,结合弱监督做法,把cam的输出也引入某种监督,在提升分类性能的同时,提升可判别学习能力。
mixup
论文题目:mixup: BEYOND EMPIRICAL RISK MINIMIZATION
论文地址:https://arxiv.org/abs/1710.09412
mixup由于非常有名,我想大家都应该知道,而且网上各种解答非常多,故这里就不重点说了。
其核心操作是:两张图片采用比例混合,label也需要混合。

论文中提到的一些关键的Insight:
- 也考虑过三个或者三个以上的标签做混合,但是效果几乎和两个一样,而且增加了mixup过程的时间。
- 当前的mixup使用了一个单一的loader获取minibatch,对其随机打乱后,mixup对同一个minibatch内的数据做混合。这样的策略和在整个数据集随机打乱效果是一样的,而且还减少了IO的开销。
- 在同种标签的数据中使用mixup不会造成结果的显著增强
cutmix
论文名称:CutMix: Regularization Strategy to Train Strong Classifiers with Localizable Features
论文地址:https://arxiv.org/abs/1905.04899
简单来说cutmix相当于cutout+mixup的结合,可以应用于各种任务中。

mixup相当于是全图融合,cutout仅仅对图片进行增强,不改变label,而cutmix则是采用了cutout的局部融合思想,并且采用了mixup的混合label策略,看起来比较make sense。
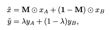
cutmix和mixup的区别是,其混合位置是采用hard 0-1掩码,而不是soft操作,相当于新合成的两张图是来自两张图片的hard结合,而不是Mixup的线性组合。但是其label还是和mixup一样是线性组合。作者认为mixup的缺点是:
Mixup samples suffer from the fact that they are locally ambiguous and unnatural, and therefore confuses the model, especially for localization。
\(M\)是和原图大小一样的矩阵,只有0-1值,\(\lambda\)用于控制线性混合度,通过\(\lambda\)参数可以控制裁剪矩形大小,
伪代码如下:

style transfer GAN
论文名称:ImageNet-trained cnns are biased towards texture; increasing shape bias improves accuracy and robustness
论文链接:https://arxiv.org/pdf/1811.12231.pdf
本文非常有意思,得到的结论非常有意义,可以指导我们对于某些场景测试失败的分析。本质上本文属于数据增强论文,做的唯一一件事就是:对ImageNet数据集进行风格化。
本文结论是:CNN训练学习到的实际是纹理特征(texture bias)而不是形状特征,这和人类的认知方式有所区别,如论文题目所言,存在纹理偏置。而本文引入风格化imagenet数据集,平衡纹理和形状偏置,提高泛化能力。
本文指出在ImageNet上训练的CNN强烈的偏向于识别纹理而不是形状,这和人的行为是极为不同的,存在纹理偏差,所以提出了Stylized-ImageNet数据,混合原始数据训练就可以实现既关注纹理,也关注形状(也就是论文标题提到的减少纹理偏向,增加形状偏向)。从而不仅更适合人类的行为,更惊讶的是提升了目标检测的精度,以及鲁棒性,更加体现了基于形状表示的优势。
文章从一只披着象皮的猫究竟会被识别为大象还是猫这个问题入手,揭示了神经网络根据物体的texture进行识别而非我们以为的根据物体的形状。
作者准备了6份数据,分别是正常的图片,灰色图,只包含轮廓的,只包含边缘的,只有纹理没有形状,纹理和形状相互矛盾(大象的纹理,猫的形状),对于第六份数据(纹理和形状冲突的数据),作者采用Stylized-ImageNet随机地将物体的纹理替换掉(也就是本文创新点),如下(c)所示:

采用了4个主流网络,加上人类直观评估。原图其实是作者除了物体外,其余都是白色背景的数据集,目的是去除干扰。 对于前面5份数据,采用原图和灰度图,神经网络都可以取得非常高的准确率,而对于只包含轮廓和只包含边缘的图片,神经网络的预测准确率则显著降低。更有意思的是,对于只包含纹理的图片,神经网络取得特别高的准确率。因而不难推断出,神经网络在识别中,主要是参考纹理信息而不是形状信息。

作者先构造数据集,然后再进行后面的深入实验,IN就是指的ImageNet,SIN是指的风格化的ImageNet,如下所示

SIN的特点是保留shape,但是故意混淆掉纹理信息。

从上表的第一行可以看出,在原始图片IN上训练的模型不能适应去除纹理SIN的图片(IN-SIN),而使用去除纹理的图片进行训练和测试效果(SIN-SIN)会差于使用原始图片进行训练和测试(IN-IN),这说明纹理信息在图像识别中确实起到了一定的作用,去除了纹理信息会提高模型识别的难度。最后,当我们使用去除纹理的图片进行训练而在原图进行测试的时候(SIN-IN),效果比在去除纹理的图片上面效果好(SIN-SIN)。
后面三行的实验采用的是第一行resnet的网络结构,其主要特征是限制模型的感受野,从而让模型无法学习到空间的信息,其对应的感受野分别是3333, 17 * 17,99,对于训练原始的图片,其结果测试误差跟没有加上感受野限制的误差差别不大,从而说明纹理信息起到主导作用(IN-IN),而对应去除掉纹理信息的图片,其测试结果下降十分明显(SIN-SIN),说明形状信息起到主要的作用,证明了SIN的模型确实在学习形状的信息而不是纹理的信息。这个实验是要说明提出的SIN数据集由于强制抹掉了固定纹理,网络训练难度增大,在没有限制感受野情况下可以学的蛮好,但是一旦限制了感受野就不行了,说明SIN模型学习到的不仅仅是纹理(因为纹理是局部的,如果依靠纹理来分类,那么准确率应该下降不了这么多),更多的是依靠shape分类,因为感受野外限制了,导致无法看到整个shape,并且通过更加限制感受野,SIN-SIN准确率下降更多。 也就是说SIN数据集由于替换掉了纹理,迫使网络学习shape和纹理,达到了本文目的。SIN上训练的ResNet50展示出更强的形状偏向,符合人类常理。
增强形状偏向也改变了表示,那么影响了CNN的性能和鲁棒性了吗?我们设置了两个训练方案:
- 同时在SIN和IN上训练
- 同时在SIN和IN上训练,在IN上微调。称为Shape-ResNet。

作者把去掉纹理的数据和原图一起放进去模型中进行训练,最后用原图进行finetune,发现这种方法可以提高模型的性能。Shape-ResNet超过了原始ResNet的准确率,说明SIN是有用的图像增强。
label smooth
论文题目:Rethinking the inception architecture for computer vision
label smooth是一个非常有名的正则化手段,防止过拟合,我想基本上没有人不知道,故不详说了,核心就是对label进行soft操作,不要给0或者1的标签,而是有一个偏移,相当于在原label上增加噪声,让模型的预测值不要过度集中于概率较高的类别,把一些概率放在概率较低的类别。