问题表示 有很多概率问题,尤其是独立重复实验问题,如果用生成函数的方法来做,会显得特别方便。本文要讲的“随机游走”问题便是其中一例,它又被形象地叫做“醉汉问题”,其本质上是一个二项分布,但是由于取了极限,出现了很多新的性质和应用。我们先考虑如下问题: 考虑实数轴上的一个粒子,在 t=0 时刻它位于原点,每过一秒,它要不向前移动一格(+1),要不就向后移动一格(1),问 n 秒后它所处位置的概率分布。 不难发现,这个问题跟二项分布是雷同的。如果把这个粒子形象比喻成一个“喝醉酒的人”,那么上面的走法就类似于一个完全不省人事的醉汉走路问题了。(当然,醉汉是在三维空间走路的,这里简单起见,只描述了一维的。)这是一个独立重复实验,每秒的行走可用函数描述为 [Math] ,于是 n 秒后的运动分布情况可...
问题定义 多元二次多项式,维度为 n ,那么可以用以下公式描述该函数: [公式] 其中 a_{i,j} 为二次项系数,共有 n^2 项, 1≤i,j≤n ,且所有的 a 不全为0,即 ∃a_{i,j}≠0 ; b_k 为一次项系数,共 n 项, 1≤k≤n ; c 为常数项。 记 f(x)=[x_1,x_2,...,x_n]^T ,则上述函数可以写作二次型的形式: 转化过程中A,b满足: A 为n阶对称方阵, A_{i,j}=a_{i,j} 因为 ∃a_{i,j}≠0 ,A不为零矩阵 b_i=b_i 为了后续计算简便,我们将二次型稍作改动: [公式] 我们的目标就是寻找该函数的极值点的坐标,我们把该目标称为 x^∗ . 其中,表示 A : [公式] 将 A 与多项式系数对应: [公式] [公...
1. 基本概念 方向导数:是一个数;反映的是f(x,y)在P0点沿方向v的变化率。 偏导数:是多个数(每元有一个);是指多元函数沿坐标轴方向的方向导数,因此二元函数就有两个偏导数。 偏导函数:是一个函数;是一个关于点的偏导数的函数。 梯度:是一个向量;每个元素为函数对一元变量的偏导数;它既有大小(其大小为最大方向导数),也有方向。 2. 方向导数 反映的是f(x,y)在P0点沿方向v的变化率。 例子如下: 方向导数计算公式 偏导数 二元函数偏导数的几何意义 偏导函数 偏导数与偏导函数的关系: 偏导数是偏导函数在指定点的函数值,因此在求偏导数时,也可先求出偏导函数,然后再将点代入偏导函数,从而求出函数在此点的偏导数。 3. 全微分 4. 梯度 梯度是一个向量;既有大小,也有方向。 几何意义 函...
调和级数记住下面的公式就够了: 证明方法就是下面这张图
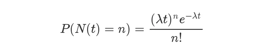
一、泊松分布 日常生活中,大量事件是有固定频率的。 某医院平均每小时出生3个婴儿 某公司平均每10分钟接到1个电话 某超市平均每天销售4包xx牌奶粉 某网站平均每分钟有2次访问 它们的特点就是,我们可以预估这些事件的总数,但是没法知道具体的发生时间。已知平均每小时出生3个婴儿,请问下一个小时,会出生几个? 有可能一下子出生6个,也有可能一个都不出生。这是我们没法知道的。 泊松分布就是描述某段时间内,事件具体的发生概率。 上面就是泊松分布的公式。等号的左边,P 表示概率,N表示某种函数关系,t 表示时间,n 表示数量,1小时内出生3个婴儿的概率,就表示为 P(N(1) = 3) 。等号的右边,参数λ是单位时间(或单位面积)内随机事件的平均发生率。 接下来两个小时,一个婴儿都不出生的概率是0.2...