1. 基本概念
- 方向导数:是一个数;反映的是f(x,y)在P0点沿方向v的变化率。
- 偏导数:是多个数(每元有一个);是指多元函数沿坐标轴方向的方向导数,因此二元函数就有两个偏导数。
- 偏导函数:是一个函数;是一个关于点的偏导数的函数。
- 梯度:是一个向量;每个元素为函数对一元变量的偏导数;它既有大小(其大小为最大方向导数),也有方向。
2. 方向导数
反映的是f(x,y)在P0点沿方向v的变化率。
例子如下:


方向导数计算公式

偏导数

二元函数偏导数的几何意义


偏导函数
偏导数与偏导函数的关系:
偏导数是偏导函数在指定点的函数值,因此在求偏导数时,也可先求出偏导函数,然后再将点代入偏导函数,从而求出函数在此点的偏导数。

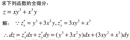
3. 全微分


4. 梯度
梯度是一个向量;既有大小,也有方向。


几何意义
函数z=f(x,y)在点P0处的梯度方向是函数变化率(即方向导数)最大的方向。
梯度的方向就是函数f(x,y)在这点增长最快的方向,梯度的模为方向导数的最大值。
