从 NLP 入手
背景
NCE,也就是 Noise Contrastive Noise(噪声对比估计), 在 “Noise-contrastive estimation: A new estimation principle for unnormalized statistical models“ 这篇论文中被提出,但是这篇论文的阐述的不太便于理解,并且论文中估计的是概率密度函数(pdf, probability density function)。而 NLP 中的 word 或 vision 中的 pixel 都是离散的,且我们感兴趣的是的概率质量函数(pmf, probability mass function),这篇 “A fast and simple algorithm for training neural probabilistic language models“ 论文中就是在使用 NCE 时假设了离散分布,并用 pmf 代替其中 pdf,然后将 NCE 应用到 NLP 领域。
n-gram
语言模型(language model)就是假设一门语言所有可能的句子服从一个概率分布,每个句子出现的概率加起来是1,那么语言模型的任务就是预测每个句子在语言中出现的概率。如果把句子 \(s\) 看成单词 \(w\) 的序列 \(s=\{w_1,w_2,...,w_m\}\),那么语言模型就是建模一个\(p(w_1,w_2,...,w_m)\) 来计算这个句子 \(s\) 出现的概率,直观上我们要得到这个语言模型,基于链式法则可以表示为每个单词出现的条件概率的乘积,我们将条件概率的条件 \((w_1,w_2,...,w_{i-1})\) 称为单词 \(w_i\) 的上下文,用 \(c_i\) 表示。

可以看到,language model 就是条件概率 \(p(w|c)\) 的集合,但是直接计算每个 \(w\) 在语料库中的条件概率是需要很大计算量的。因此在统计语言模型中,引入了马尔可夫假设,即“一个词出现的概率只与它前面出现的有限的一个或者 n 个词有关”,将这 \(n\) 个词称为一个 gram,这就是著名的 n-gram 模型,因此可以将模型简化为:

最大似然估计
上面的 n-gram 构建语言模型的方法实际上就是,将一个训练语料库中的每个 \(w_i\) 和它的 \(c_i\) (也就是由前面n个 \(w\) 构成)的条件概率计算出来并储存(实际操作上是统计每个gram出现的次数),然后下一次计算某个句子的出现的概率时,即 (2) 式,就在存储中找到这个句子中出现的 \(w\) 和 \(c\) 的条件概率,然后乘起来即可。因此,我们是否可以不事先计算并存储每个 \(w\) 和 \(c\) 条件概率,而是建立一个模型(或者说函数),给这个模型一组 \(w\) 和 \(c\) 就能输出它们的条件概率。
在机器学习领域有一个方法是:对所要考虑的问题建模后为其构造一个目标函数,然后对这个目标函数进行优化,从而求得一组最优的参数,最后利用这组最优参数对应的模型进行预测,也就是最大似然估计。
在建模统计语言模型时,利用最大似然估计,根据 (1) 式目标函数,我们可以写出其对数似然函数如下:

然后最大化对数似然函数 \(L_{MLE}\) ,实际上这样就是将 \(p(w|c)\) 看成 \(w\) 和 \(c\) 的函数, \(\theta\) 为待定参数集:

这样一旦最优参数集 \(\theta^*\) 可以确定,函数 \(F\) 就被唯一确定,那么对于任何概率 \(p(w|c)\) 都可以用函数 \(F(w,c;\theta^*)\) 来计算了。
神经概率语言模型
上面的方法似然看起来很美好,但其中有两个问题:
- 如何构造一个好的函数 \(F\) 。
- 最大似然估计虽然理论上简单可行,但对于某些模型,在实际计算时可能需要很大的计算量,因此未必容易。
首先来看第一个问题,这也就是我们为什么引入神经网络,因为神经网络理论上可以表示任何函数,那么通过训练,肯定能找到这个合适的 \(F\),因此 Bengio 等人在 2003 年 A Neural Probabilistic Language Model 中提出了神经概率语言模型(NPLM)。其不在受限于 gram 的大小,可以在包含任意大小上下文的情况下建模 \(w\) 的条件概率。
具体来看,它把语言模型的建立当作一个多分类问题,我们用 \(V=\{v_1,v_2,...,v_{|V|}\}\) 表示一个包含所有单词的单词库,其大小为 \(|V|\),将 \((w,c)\) 当成一对训练样本(实际上 \(w\) 会转换成词向量,这里不做详解),通过神经网络后和 softmax 后,输出一个向量 \(\hat{y}=[\hat{y}_{i,1},\hat{y}_{i,2},...,\hat{y}_{i,|V|}]\), 其中每一维 \(\hat{y}_{i,j}=p(v_j|c_i)\)表示上下文为 \(c_i\)时 第 \(i\) 个单词 \(w_i\) 是单词库中第 \(j\)个单词 \(v_j\) 的概率,训练过程要求最后单词库中概率最大的单词就是训练样本对中的 \(w_i\)。这样训练结束后,给神经网络一个上下文 \(c_l=(w_1,w_2,...,w_{l-1})\),神经网络就能预测在当前上下文 \(c_l\) 时,下一个 单词 \(w_l\) 是单词库中的各个词的概率 \(p(w_l|c_l)\),通过这个我们也就可以构建语言模型。
我们知道,这种方法本质上就是拟合一个 \(w\) 和 \(c\) 的函数 \(F\),或者说建立一个参数集为 \(\theta\) 条件概率分布 \(p_\theta(w|c)\),只要给出当前上下文 \(c\) ,我们就能够直接计算下一个单词 \(w\)的概率。
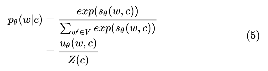
假设输入到 softmax 前的结果用 \(s_\theta(w,c)\)表示,实际上 \(s_\theta(w,c)\)是有含义的,它是一个 scoring function ,输出的分数用来量化 \(w\) 在上下文 \(c\) 中匹配性,那么 \(w\) 条件概率可以表示为以下形式:

式中,\(u_\theta(w,c)=exp(s_\theta(w,c))\) 表示下一个单词是这个 \(w\) 在单词库中的概率;令 \(Z(c)=\sum_{w^{'}\in V}exp(s_\theta(w^{'},c))\) 表示当前单词库中所有单词的概率的累和,通常将这一项叫做“配分函数”或“归一化因子”。一般来说,单词库 \(|V|\)的数量是非常巨大的,因此计算 \(Z(c)\) 是非常昂贵、耗时的一件事,这也就是 NCE 要解决的问题。(见附录1)
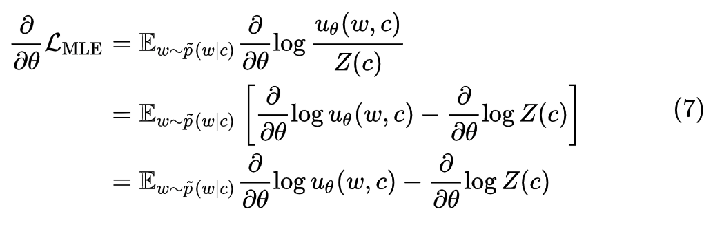
如果我们不考虑\(s_\theta(w,c)\) 的具体形式,那么 (5) 式实际上就可以当作我们在 (4)式中所构造的函数 \(F\)的表达式, 既然如此,那我们接着用 最大似然估计的方式来试着求解 \(F\) 的参数 \(\theta\)。我们将从句子 \(s\)中取样的 \(w\) 看成经验分布(数据分布) \(\widetilde{p}(w|c)\),(3)式中的\(L_{MLE}\) 可以写成:

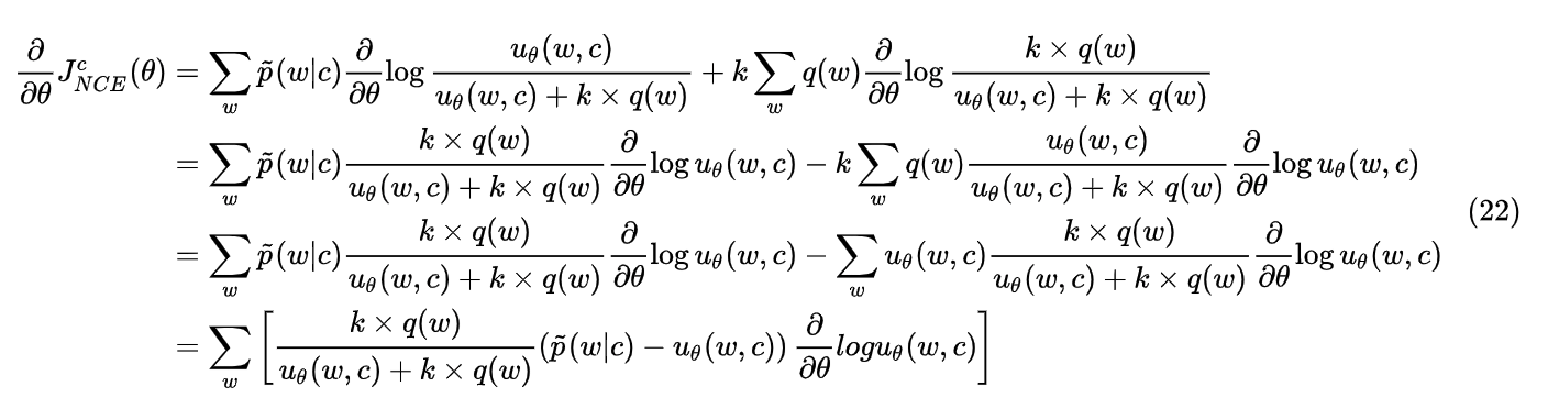
现在要最大化 \(L_{MLE}\) ,那么将其关于 \(\theta\) 求导:

这里解释一下上面到最后一步的转换,因为\(Z(c)=\sum_{w^{'}\in V}exp(s_\theta(w,c))\) ,其中 \(w^{'}\) 为单词库 \(V\)中所有的单词,而单词库其中每个单词的概率由 \(p_\theta(w|c)\) 产生,因此 \(w^{'} \sim p_\theta(w|c)\),与经验分布\(w\sim \widetilde{p}(w|c)\) 不相关,所以可以把期望 \(\mathbb{E}_{w\sim\widetilde{p}(w|c)}\)去掉。
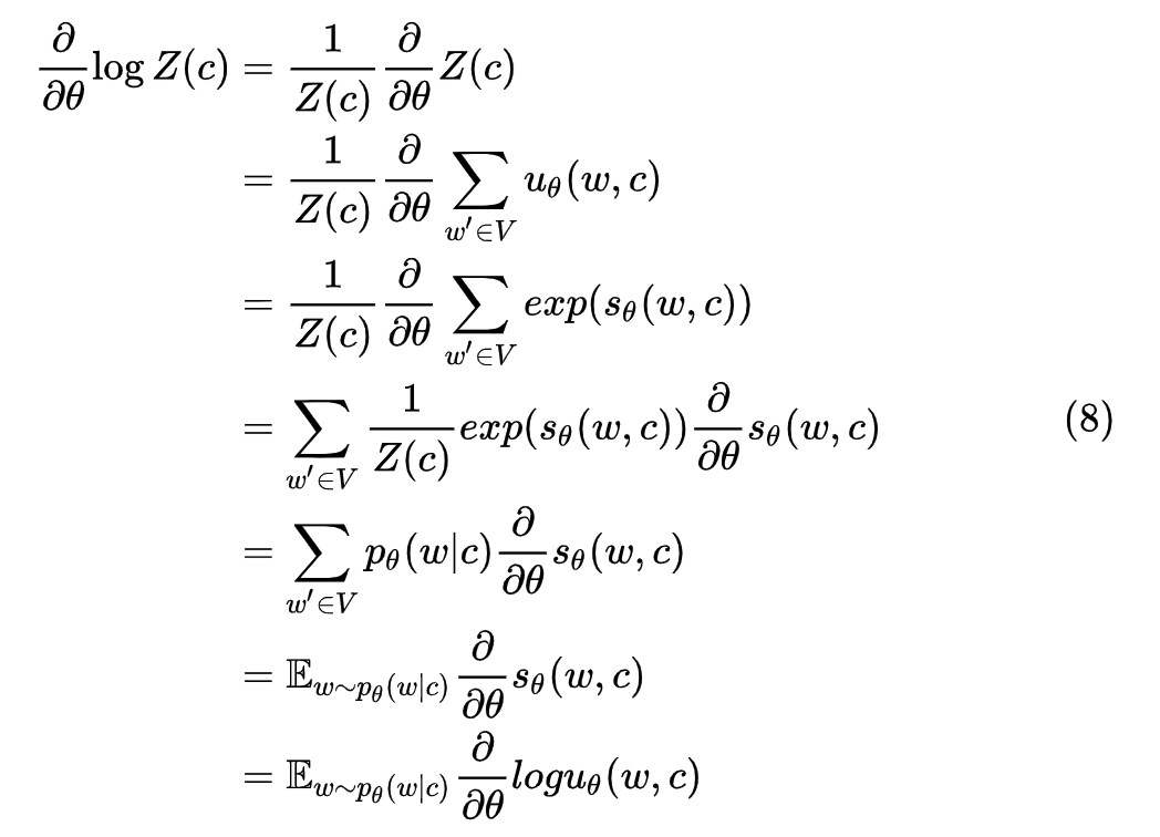
(7)式结果中的 \(\frac{\partial}{\partial\theta}logZ(c)\)计算如下:

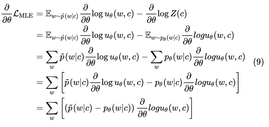
将 (8) 式结果带回 (7) 式中得:

最大似然好像很容易,但是实际上还是绕不开对“归一化常数”的计算,所以就需要 NCE 登场了。
什么是 NCE
上一节中说明了计算\(Z(c)\) 非常昂贵这个问题需要解决,一个简单的思路是将 \(Z(c)\) 也看成模型的一个参数 \(Z_c\) 来进行训练,但是这种方法不适合于上面提到的最大似然估计,因为由 (6) 式可以看出来,它会直接将 \(Z_c\) 趋于 0 来获得最大似然。因此,有人利用这个思想提出了一些不定义 \(Z(c)\),直接用\(u_\theta(w,c)\) 估计模型的方法,如 contrastive divergence (Hinton, 2002) 和 score matching (Hyvarinen, 2005)。(见附录2)
而 NCE 不同于上面两种方法,它是通过最大化同一个目标函数来估计模型参数 \(\theta\) 和归一化常数,NCE 的核心思想就是通过学习数据分布样本和噪声分布样本之间的区别,从而发现数据中的一些特性,因为这个方法需要依靠与噪声数据进行对比,所以称为“噪声对比估计(Noise Contrastive Estimation)”。更具体来说,NCE 将问题转换成了一个二分类问题,分类器能够对数据样本和噪声样本进行二分类,而这个分类器的参数 \(\theta\) 就等价于上一节中我们想要得到\(\theta\)。(见附录3)
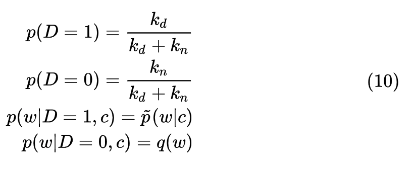
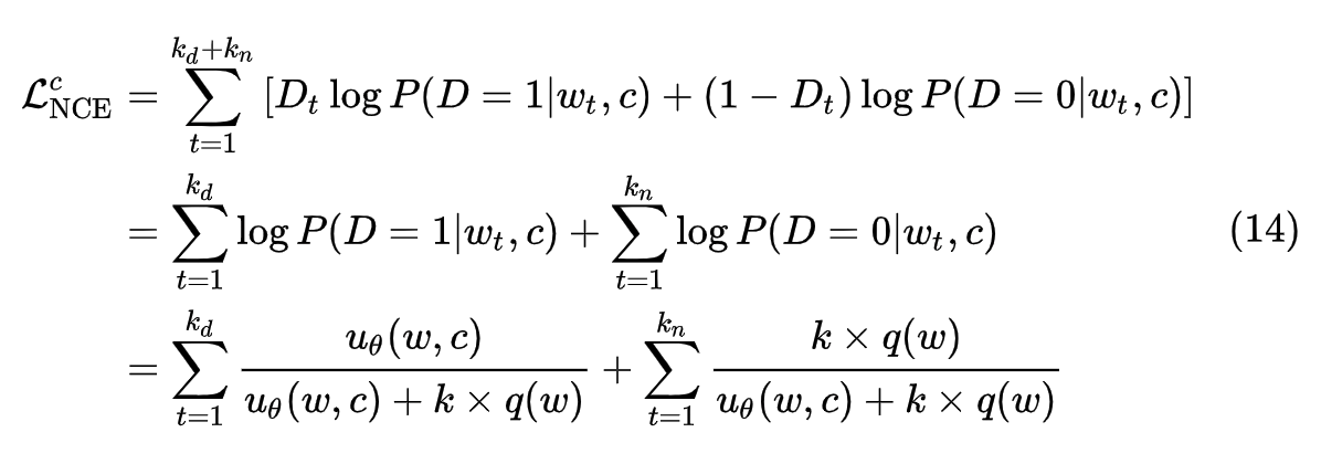
现在假设一个特定上下文 \(c\) 的数据分布为 \(\widetilde{p}(w|c)\),我们称从它里面取出的样本为正样本,令类别\(D=1\);而另一个与 \(c\) 无关的噪声分布为 \(q(w)\) ,我们称从里面取出的样本为负样本,令类别为 \(D=0\)。遵循 Gutmann and Hyvrinen (2012) 中的设置,假设现在取出了 \(k_d\) 个正样本和 \(k_n\)个负样本,将这些正负样本混合形成一个混合分布 \(p(w|c)\)。我们得到下面这些概率:

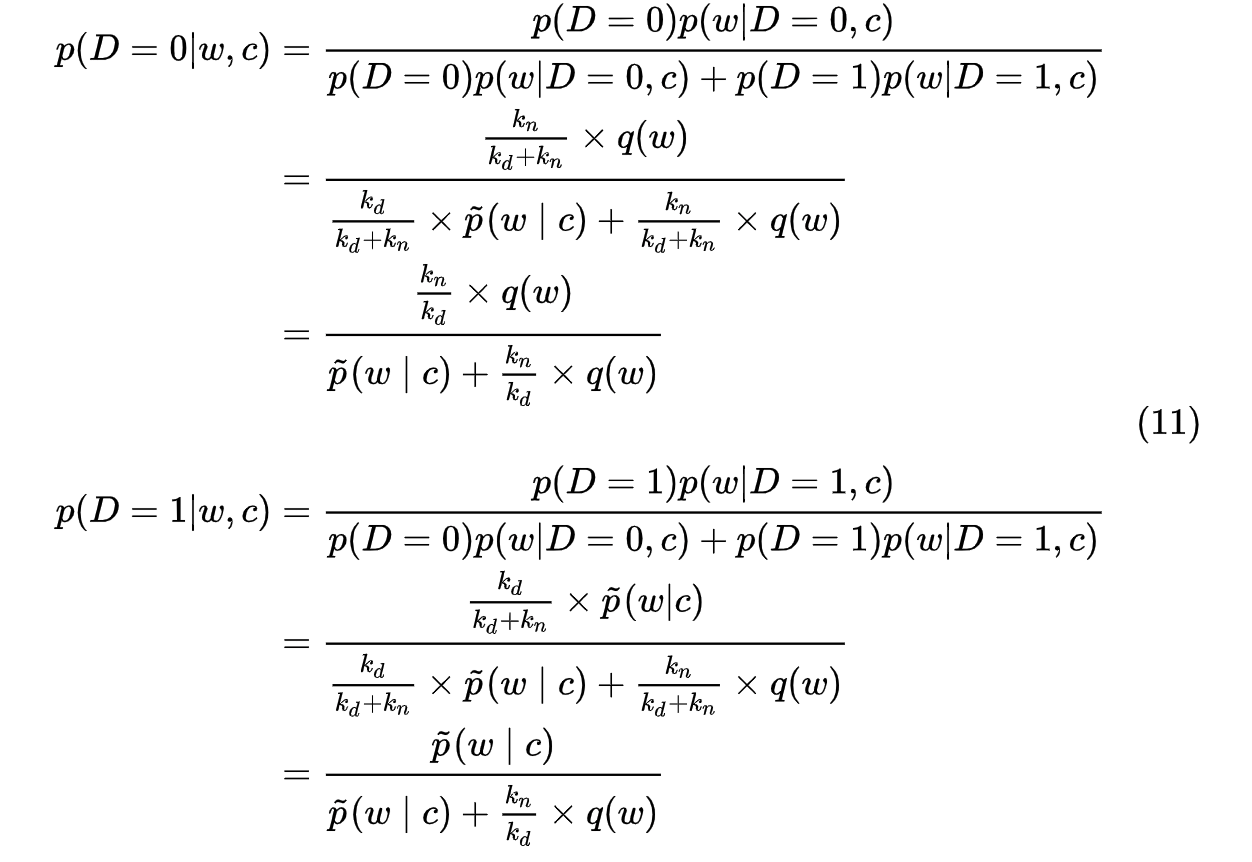
所以可以计算后验概率:

我们令负样本和正样本的比例为: \(k=\frac{k_d}{k_n}\) ,则有:

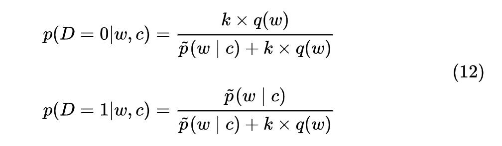
现在我们观察(12)式,NCE 所做的事情就是将式中的经验分布 \(\widetilde{p}(w|c)\) 替换成概率模型 \(p_\theta(w|c)\),使后验概率成为参数为 \(\theta\) 的函数。但问题是这样现在这样的形式还是需要计算\(Z(c)\),我们只是将原来问题进行了一定的转换从而引入了噪声分布。为了解决这个问题,NCE 做了两个设定:
- 一个就是前面提到的,将 \(Z(c)\) 作为一个参数 \(Z_c\) 来进行估计,相当于引进了一个新的参数。
- 第二个是,事实证明(Mnih and Teh, 2012),对于参数很多的神经网络来说,我们将 \(Z_c\) 固定为 1 对每个 \(c\) 仍是有效的。
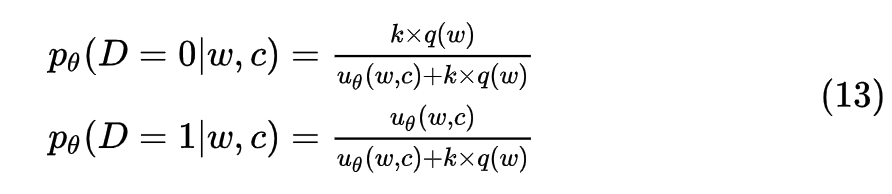
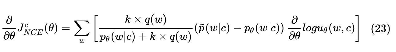
第二个设定,即减少了参数的数量,又使模型的输出符合”归一化“的性质(即 \(Z_c \approx1\)),是很合理的,如果 \(Z_c\approx1\),由(5) 式可以得到 \(p_\theta(w|c)=u_\theta(w|c)\), 那么 (12) 式可以写成如下形式,即具有参数 \(\theta\) 的后验概率:

现在我们有了参数为 \(\theta\) 的二元分类问题,假设标签 \(D_t\) 为伯努利分布,那么很容易写出他的条件对数似然 \(L_{NCE}^c\) 如下,实际上在它前面加上负号后,\(-L_{NCE}^c\) 也就等价于 logistics 分类里的 log loss,或者说交叉熵损失函数:

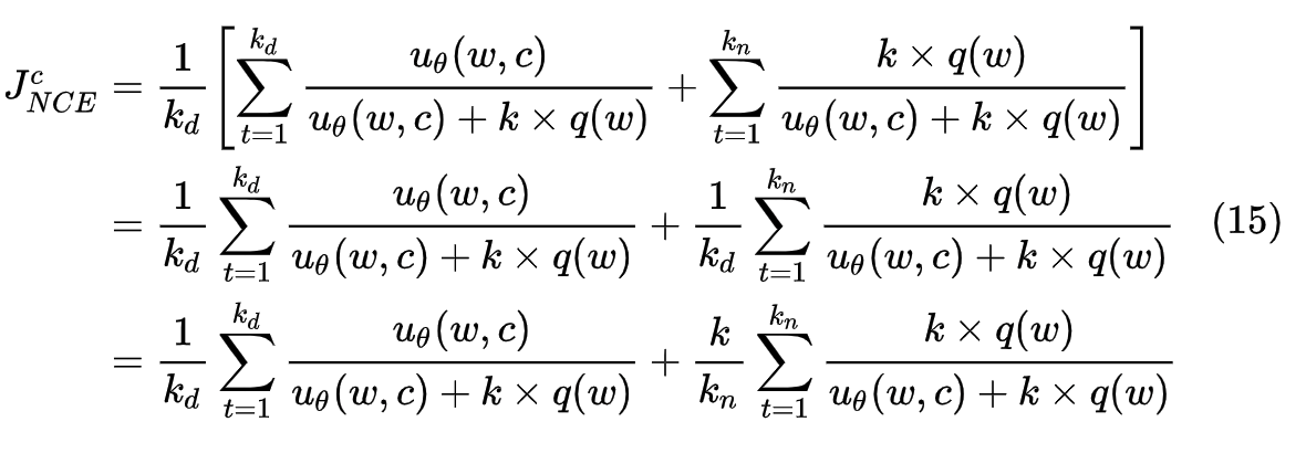
而 NCE 的目标函数还需要在 (14) 式的基础上除以正样本的数量 \(k_d\) ,即

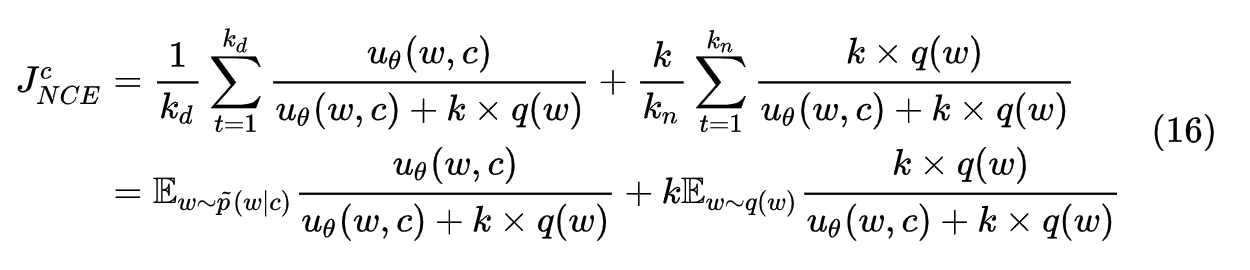
当数据数量很大时,根据大数定律,上式也可以写成:

要最大化上述对数似然函数,也就是最大化如下目标函数:

NCE 目标函数中的 \(k\) 实际上就是在设置“二分类问题”时,选取的负样本与正样本的比例,通常的做法会默认正样本数量为 1 ,然后将负样本的数量 \(k\) 作为一个手动输入的参数,从而确定这个比例 \(k\)。在TensorFlow 的相关源码中,正样本的数量 num_true 默认值为1,如果设置大于 1,那么会进行一个 \(1/num\_true\)的归一化。

可以看到实际上这个比例 \(k\) 对我们的 NCE 优化是有影响的,所以 NCE 的作者也考虑了什么样的比例 \(k\) 是最好的,我这里就直接说结论了,有兴趣的可以看详细看下这篇论文Gutmann and Hyvrinen (2012) 。结论是:对于设置的噪声分布 \(q(w)\),我们实际上是希望它尽量接近数据分布 \(\widetilde{p}(w|c)\),否则这个二分类任务就过于简单了,也就无法很好的学到数据特性。而作者通过实验和推导证明(我在第三节中也会简单的证明),当负样本和正样本数量之比 \(k\)越大,那么我们的 NCE对于噪声分布好坏的依赖程度也就越小。换句话说,作者建议我们在计算能力运行的条件下,尽可能的增大比值 \(k\)。也许这也就是大家都默认将正样本数量设置为 1 的原因:正样本至少取要 1 个,所以最大化比值 \(k\),也就是尽可能取更多负样本的同时,将正样本数量取最小值 1。另外,如果我们希望目标函数不是只针对一个特定的上下文 \(c\),而是使不同的上下文可以共享参数,也就是设置一批上下文的全局目标函数:

到这,NCE 的构建就完成了,总结一下就是:从上下文 \(c\) 中取出单词作为正样本,从噪声分布中取出单词作为负样本,正负样本数量比为 \(1:k\) ,然后训练一个二分类器,通过一个类似于交叉熵损失函数的目标函数进行训练(如果取正样本数量为 1,那么 (14) 式与 (15) 式等价,NCE 目标函数就等价于交叉熵损失函数)。
NCE 的原理
上面虽然推导了那么多公式,但实际只是按照 NCE 的思想进行问题的转换,那么这样做究竟是否正确呢?根据附录 3 的描述,直觉上看好像是没有问题的。
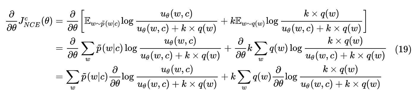
我们再看回 (17)式,我们对它关于 \(\theta\) 进行求导:

分别对上面的两项进行求导:

将上面两个结果再带回 (19) 式中,并根据前面 \(Z_c\approx1\) 的设定,也就是 \(p_\theta(w|c)=u_\theta(w|c)\) :

上一节中我们设定了 \(Z_c\approx1\) ,也就是 \(p_\theta(w|c)=u_\theta(w|c)\) ,因此:

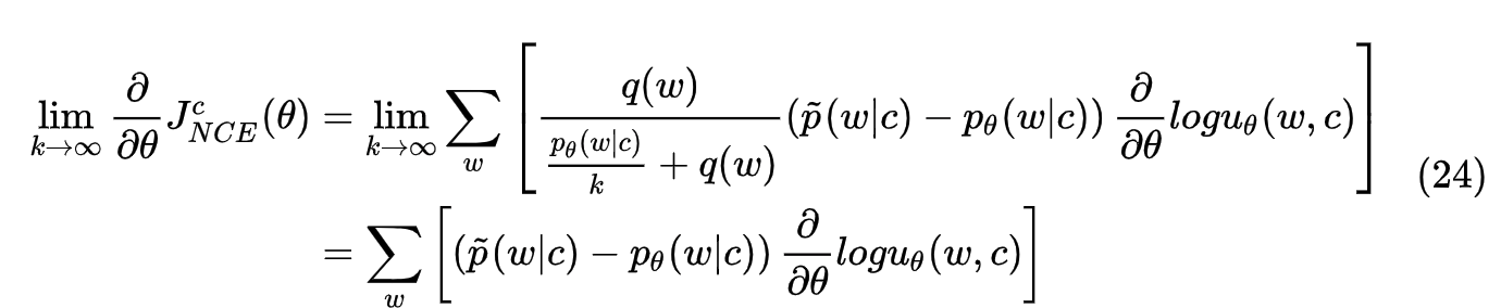
这里的参数 k 依然指的是负样本与正样本数量的比例,如果我们令 \(k\to \infin\) 的话,那么:

可以看到,当 k 趋于无穷时, (24) 式中 NCE 目标函数的梯度和 (9) 式中 MLE 对数似然函数梯度是等价的,也就是说我们通过 NCE 转换后的优化目标,本质上就是对极大似然估计方法的一种近似,并且随着负样本和正样本数量比 k 的增大,这种近似越精确,这也解释了为什么作者建议我们将 k 设置的越大越好。
从 NCE 到 InfoNCE
到目前为止,应该对 NCE 的来龙去脉比较清楚了(公式太多,不知道多少人有耐心看到这里了...)。
InfoNCE 是在 Representation Learning with Contrastive Predictive Coding 这篇论文中提出的,这里不会具体介绍 CPC ,而是着重说明如何借鉴 NCE 的思想提出 InfoNCE 并用于 CPC 中的.
简单来说,CPC(对比预测编码) 就是一种通过无监督任务来学习(编码)高维数据的特征表示(representation),而通常采取的无监督策略就是根据上下文预测未来或者缺失的信息,NLP 中已经利用这种思想来学习 word 的 representation 。
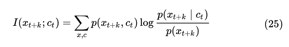
要构建这样的预测任务,一个方法是直接建模条件生成模型 \(p(x_{t+k}|c_t)\)根据当前上下文 \(c_t\) 预测 k 个时刻后的数据 \(x_{t+k}\)(假设是像文本、语音中那样的序列数据);但作者觉得这样的方法过于针对细节进行重建,并不是很好,于是引入了互信息的思想,认为我们可以通过最大化当前上下文 \(c_t\) 和要未来的数据 \(x_{t+k}\) 之间的互信息来构建预测任务,互信息的表示如下:

我们没办法知道 \(x_{t+k}\) 和 \(c_t\) 之间的联合分布 \(p(x_{t+k},c_t)\),因此要最大化 \(I(x_{t+k};c_t)\),就需要从 \(\frac{p(x_{t+k}|c_t)}{p(x_{t+k})}\) 入手,即最大化 \(\frac{p(x_{t+k}|c_t)}{p(x_{t+k})}\)。
那么如何训练 \(\frac{p(x_{t+k}|c_t)}{p(x_{t+k})}\)呢?我们可以把这个比例定义为密度比,那么根据附录 3中的思想,分子\(p(x_{t+k}|c_t)\) 就相当于 \(p_d\) ,是我们想得到的目标函数;分母 \(p(x_{t+k})\) 就相当于 \(p_n\),是用来进行对比的参考分布(噪声)。因此,我们就可以根据 NCE 中提供的思路,将问题转换为一个二分类的问题,更具体来解释:
- 从条件 \(p(x_{t+k}|c_t)\) 中取出数据称为“正样本”,它是根据上下文 \(c_t\) 所做出的预测数据,将它和这个上下文一起组成“正样本对”,类别标签设为 1。
- 将从 \(p(x_{t+k})\) 中取出的样本称为“负样本”,它是与当前上下文 \(c_t\) 没有必然关系的随机数据,将它和这个上下文 \(c_t\) 一起组成“负样本对”,类别标签设为 0。
- 正样本也就是与 \(c_t\) 间隔固定步长 \(k\) 的数据,根据 NCE 中说明的设定,正样本选取 1 个;因为在 NCE 中证明了噪声分布与数据分布越接近越好,所以负样本就直接在当前序列中随机选取(只要不是那一个正样本就行),负样本数量越多越好。
所以要做的就是训练一个 logistics 分类模型,来区分这两个正负样本对。问题转换后,训练的模型能够“成功分辨出每个正负样本的能力”就等价于“根据 \(c_t\) 预测 \(x_{t+k}\) 的能力”。
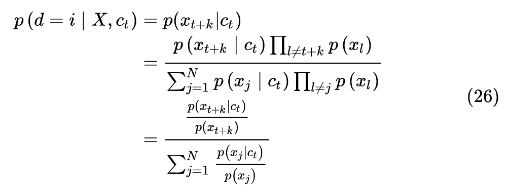
根据 NCE 中的设置,现在假设给出一组大小为 \(N\) 的 \(X=\{x_1,...,x_N\}\),其中包含 1 个从 \(p(x_{t+k}|c_t)\) 中取样正样本和 \(N-1\) 从一个指定分布(用于对比的噪声分布) \(p(x_{t+k})\),假设第 \(x_i\)是正样本,且 \(i = t+k\),上下文 \(c_t\) 表示 \(t\) 之前的数据,那么能够正确的同时找到那一个正样本 \(x_{t+k}\)和 \(N-1\) 个负样本的情况可以写成如下形式:

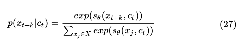
我们最大化上面这个式子,即最大化模型“成功分辨出每个正负样本的能力”,也就是最大化我们定义的密度比,也就是最大化 \(c_t\) 与 \(x_{t+k}\)的互信息。参考 (5)式,可以写出根据\(c_t\)预测 \(x_{t+k}\) 的形式:

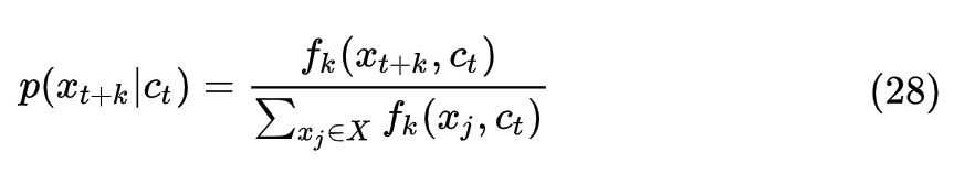
在上式中,我们知道 \(s_\theta(x,c)\) 是一个 socring function ,输出的分数用来量化 \(x\) 在上下文 \(c\) 中匹配性;放在这里 \(s_\theta(x_{t+k},c_t)\) 也就是量化对 \(x_{t+k}\) 预测的结果和真实结果的相似程度,CPC 文章中用余弦相似度来量化,并且将 \(exp(s_\theta(x_{t+k},c_t))\) 定义为 \(f(x_{t+k},c_t)\) ,也就是:

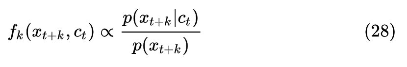
现在对比 (26)(28) 两个式子,这两个式子的目标是一致的,也就意味着 \(f_k(x_{t+k},c_t)\) 实际上就可以作为密度比 \(\frac{p(x_{t+k}|c_t)}{p(x_{t+k})}\) 的一种表示形式,它们之间虽不直接等价,但是含义上是正相关的,即:

现在我们的优化目标就是使 (26) 或 (28) 式的结果最大,所以可以写出对应形式的交叉熵损失如下:

上式就是最终得到的 InfoNCE 损失函数了,并且最小化 InfoNCE,也就等价于最大化 \(x_{t+c}\) 和 \(c_t\) 之间互信息的下限,从而做到了我们所要求的最大化 \(I(x_{t+k};c_t)\) ,证明如下,