143. 重排链表

Apr 25, 2024
2 views
Algorithm

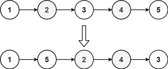
给定一个单链表 L:L0→L1→…→Ln-1→Ln , 将其重新排列后变为: L0→Ln→L1→Ln-1→L2→Ln-2→… 你不能只是单纯的改变节点内部的值,而是需要实际的进行节点交换。

示例 1: 给定链表 1->2->3->4, 重新排列为 1->4->2->3. 示例 2: 给定链表 1->2->3->4->5, 重新排列为 1->5->2->4->3.

class Solution:
    def reorderList(self, head: ListNode) -> None:
        if not head:
            return

        mid = self.middleNode(head)
        l1 = head
        l2 = mid.next
        mid.next = None
        l2 = self.reverseList(l2)
        self.mergeList(l1, l2)

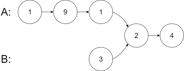
    def middleNode(self, head: ListNode) -> ListNode:
        slow = fast = head
        while fast.next and fast.next.next:
            slow = slow.next
            fast = fast.next.next
        return slow

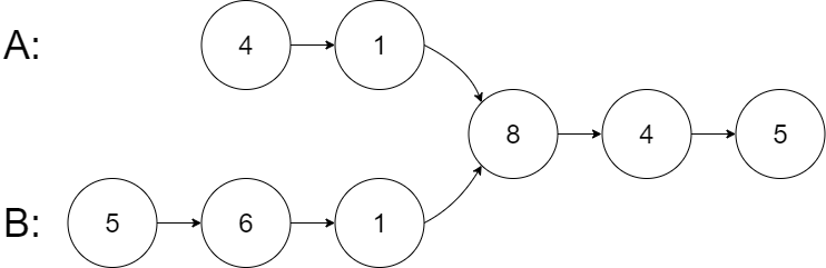
    def reverseList(self, head: ListNode) -> ListNode:
        prev = None
        curr = head
        while curr:
            nextTemp = curr.next
            curr.next = prev
            prev = curr
            curr = nextTemp
        return prev

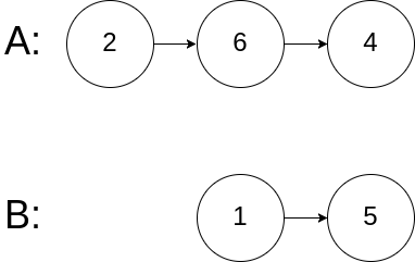
    def mergeList(self, l1: ListNode, l2: ListNode):
        while l1 and l2:
            l1_tmp = l1.next
            l2_tmp = l2.next

            l1.next = l2
            l1 = l1_tmp

            l2.next = l1
            l2 = l2_tmp